・20歳超えて検診を勧められるけど、本当に必要?
・検診に行ったことがないけど大丈夫かな?
このようにお悩みではありませんか?
がん検診があなたにとって必要か?また受診するならどのような検診が良いのかはこの記事を最後まで読んでください。色々記事を読んでもよくわからない。そもそもどこから手をつけて良いかわからないという方は、「がん専門FP」に相談してみるのも1つの手です。

「がん専門FPのCancer FP」では、医療系FPを中心に最新の医療情報とお金の情報を分析してお客様にお届けしています。
相談は完全無料なので、家族ががんなので遺伝が気になっている方、「お金」についても将来に対して漠然と不安がある方はまずはお問い合わせしてみてください。
・現役医療従事者や元医療従事者が多数
・日本FP協会認定FPに相談が可能
・生涯で最大1000万円ほどお得に!

そもそも子宮頸がんとは?
子宮頸がんとは?どこにできるがんなの?
子宮下部の管状の部分を子宮頸部、子宮上部の袋状の部分を子宮体部と呼び、それぞれの部位に生じるがんを子宮頸がん、子宮体がんといいます。 子宮頸がんは子宮がんのうち約7割程度を占めます。
公益社団法人日本産科婦人科学会「子宮頸がん」 子宮頸がんとは?
吉原加奈 | 看護師子宮の入り口あたりのがんのことです!
子宮頸がんの発生原因
子宮頸がんは、ヒトパピローマウイルス(HPV)の感染が主な原因です。特に、16型と18型のHPVが高リスクとされ、感染が持続することでがん化する可能性があります。HPVは性行為を通じて感染するため、性交渉の経験がある女性はリスクが高くなります。
アメリカでは性交渉経験のある女性では約85%がHPVに感染したことがあるとの研究結果もあります。しかし、HPVに感染してもすべての女性が子宮頸がんになるわけではありません。しかし日本人女性のうち20代から30代で子宮頸がんに罹患された方が少なくとも82.5%以上の確率でHPV16型と18型のいずれかに感染していたこともわかっています。(参考論文:Onuki M et al. Cancer Sci. 2020; 111: 2546-2557.)
引用:MSD製薬「もっと知りたい子宮頸がん予防:子宮頸がんの原因ってなに?」 高リスク型HPV
またHPVは子宮頸がん以外にも女性の外陰や膣のがんを引き起こしたり、男女問わず肛門がんになることもわかっています。またがんではありませんが性器や肛門周りにイボのできる尖圭コンジローマという病気を引き起こす可能性も持っています。
吉原加奈 | 看護師HPVは女性だけってイメージも強いですが男女ともに理解することが重要です。
子宮頸がんの症状
初期の子宮頸がんは無症状で進行しますが、進行するにつれてさまざまな症状が現れます。代表的な症状には、不正出血(性交後出血、月経以外の出血)、異常な帯下(おりもの)、骨盤痛、性交痛などがあります。症状が現れた時点で病気が進行している場合が多いため、定期的な検診が重要です。症状がある場合は、すぐに医療機関を受診し、適切な診断と治療を受けることが必要です。
子宮頸がんの進行と予後
子宮頸がんの進行は、初期段階では子宮頸部に限局していますが、進行すると周囲の組織や臓器に広がり、リンパ節や遠隔臓器に転移することもあります。治療には、手術、放射線療法、化学療法があり、がんの進行度によって組み合わせて行われます。早期に発見され、適切な治療を受ければ予後は良好であり、5年生存率は高いです。しかし、進行した状態で発見されると予後は厳しくなります。定期的な検診で早期発見が最も効果的な予防策です。
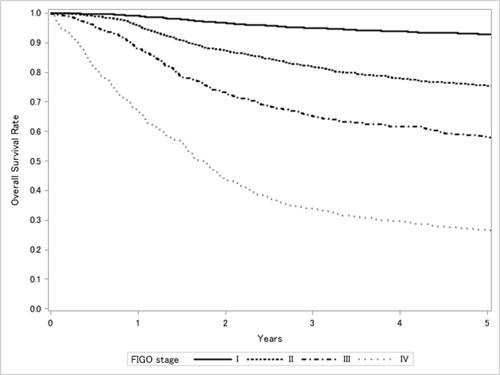
子宮頸がんの進行期別5年生存率(対象:2012年の診断症例)
引用:公益社団法人日本婦人科腫瘍学会「市民の皆さまへ:子宮頸がん」 日本産科婦人科学会婦人科腫瘍委員会報告 第60回治療年報
(日産婦誌2019年71巻738頁)より
吉原加奈 | 看護師ステージⅠでは5年後の生存率が90%を越え、ステージⅢでは60%程度にまで下がります。これだけで早期発見の重要性がわかりますね。
子宮頸がんの発生頻度と統計
子宮頸がんは、日本の女性におけるがん発生頻度の中で比較的多いがんの一つです。特に30代から50代の女性に多く見られます。国立がん研究センターのデータによると、毎年約10,000人の女性が新たに子宮頸がんと診断されており、約3,000人がこの病気で命を落としています。発症率は年々増加しており、若年層での発症も増えているため、20歳以上の女性は定期的に検診を受けることが推奨されています。
日本における年代別子宮頸がんの罹患率(1985年対2015年の比較)
MSD製薬:子宮頸がんの疫学「罹患率と死亡率」 国立がん研究センターがん情報サービス「がん統計」
(全国がん罹患モニタリング集計(MCIJ))全国推計値:がん罹患データ(1975年~2015年) より作図
https://ganjoho.jp/reg_stat/statistics/dl/index.html (Accessed Oct. 24, 2022)
若年層の女性の子宮頸がんが増加している原因としては、下記が挙げられています。
- 初交年齢の若年化
- がん検診受診率の向上
- 喫煙率の上昇
特に喫煙は子宮頸がんのリスク増加因子であり、全ステージにおいて平均よりも喫煙率が高いというデータもあります。

他の婦人科がんとの違い
子宮頸がんは、子宮体がんや卵巣がんとは異なる発生部位と原因を持ちます。子宮頸がんは子宮の入り口部分(子宮頸部)に発生し、主にHPV感染が原因でリスク増加因子は喫煙です。
一方、子宮体がんは子宮の内膜へのエストロゲンの刺激の長期化が主たる原因と言われています。卵巣がんは卵巣から発生し、遺伝的要因や年齢、生活習慣などがリスク要因です。これらのがんはそれぞれ異なる症状や診断方法、治療法が必要であるため、定期的な婦人科検診で総合的にチェックすることが重要です。
吉原加奈 | 看護師卵巣がんの原因の約10%〜15%は遺伝的なものです。ご家族に若くしてがんになられた方がいないか確認しておくことも大切です。
子宮頸がん検診の重要性
子宮頸がん検診の目的
子宮頸がん検診の主な目的は、早期にがんや前がん病変を発見し、適切な治療を行うことで子宮頸がんによる死亡を防ぐことです。定期的な検診により、がんになる前の異常細胞や初期のがんを検出できるため、治療の成功率が高まります。検診で発見された異常は早期治療が可能であり、手術や薬物療法などの負担も軽減されます。また、検診を受けることで自分の健康状態を確認し、安心して生活することができます。
検診による早期発見のメリット
子宮頸がんは、早期に発見されるほど治療の成功率が高くなります。検診によって早期に異常を見つけることで、がんが進行する前に適切な治療を受けることができます。早期発見された場合、治療で比較的予後が良好で、手術や放射線療法の負担も少なくなります。また、早期に治療を行うことで、妊娠や出産に与える影響も最小限に抑えることができます。定期的な検診は、健康な生活を続けるために不可欠です。
検診を受けないリスク
子宮頸がん検診を受けない場合、がんが進行するまで発見されない可能性が高まります。子宮頸がんは初期段階では無症状で進行するため、症状が現れた時にはすでに進行していることが多いです。進行したがんは治療が困難であり、生存率も低下します。定期的な検診を受けることで、がんの早期発見と治療が可能になり、死亡リスクを大幅に減少させることができます。検診を怠ることは、自分の健康を危険にさらす行為です。
他国と日本の検診状況の比較
日本では、子宮頸がん検診の受診率が低い傾向にあります。特に20代から30代の若年層では受診率が低く、他国と比較しても差が顕著です。例えば、アメリカやイギリスでは、検診プログラムが充実しており、受診率も高いです。これにより、子宮頸がんによる死亡率も低く抑えられています。日本でも、検診の重要性を啓発し、受診率を向上させる取り組みが進められていますが、さらなる普及が求められます。
各国の子宮頸がん検診の受診率(OECD 2015年)
引用:日本医師会「知っておきたいがん検診」 ※20~69歳の子宮頸がん検診受診率を比較しています。
資料:OECD, OECD Health Data 2015, Nov 2015.
子宮頸がん検診の歴史と進化
子宮頸がん検診の歴史は1940年代に遡ります。ジョージ・パパニコロウ博士が開発した細胞診(パップテスト)は、がんの早期発見に革命をもたらし、子宮頸がんの死亡率が大幅に減少しました。その後アメリカで細胞診の精度管理に問題があることを指摘され1988年に管理のあり方が見直されました。(CLIA’88の改訂)
日本では1967年(昭和42年)に全国一斉で開始され、1982年(昭和57年)には老人保健法が制定されたことで子宮がん検診が制度化されました。技術の進歩により、現在ではHさらに高精度な検診が可能となっています。これらのことから子宮頸がんの早期発見と予防がより効果的に行われるようになりました。

子宮頸がん検診の流れと方法
初回検診の手順
初回の子宮頸がん検診は、まず問診から始まります。医師は患者の健康状態、月経周期、性交渉歴などを確認します。次に、内診台に上がり、子宮頸部の細胞を採取します。
細胞採取は専用のブラシやヘラを使って行い、痛みは個人差がありますが採取は1〜2分程度です。採取した細胞は検査室で顕微鏡検査され、異常がないか確認されます。初回検診で異常が見つかった場合は、精密検査が必要となる場合があります。
定期検診のスケジュール
定期的な子宮頸がん検診は、20歳以上の女性に対して2年に1回の受診が推奨されています。検診の間隔は、医療機関や自治体のプログラムによって異なる場合がありますが、2年に1回の頻度で受けることが最も効果的とされています。定期検診では、初回と同様に細胞診が行われ、異常がないか確認されます。異常が見つかった場合は、追加の検査や治療が行われることがあります。
検査結果の受け取り方
検査結果は、通常1〜2週間後に郵送や電話、再診時に医師から直接説明を受ける形で通知されます。異常が見つかった場合は、速やかに精密検査を受けるための指示が与えられます。結果が正常であれば、次回の検診までの間、健康状態を維持するためのアドバイスが提供されます。検査結果の確認は、自分の健康状態を把握する重要なステップですので、必ず確認しましょう。
細胞診の具体的な方法
細胞診では、専用のブラシやヘラを使用して子宮頸部の細胞を採取します。採取された細胞はスライドガラスに塗布され、固定剤で保存されます。その後、病理検査室で顕微鏡検査が行われ、がん細胞や前がん病変の有無が確認されます。細胞診は個人差はありますが痛みが少なく、短時間で終了するため、患者への負担が少ない検査方法です。定期的な細胞診により、子宮頸がんの早期発見が期待できます。
検診前後の注意点
検診日の約3日前から性交渉や膣内洗浄を避けることが推奨されます。これにより、正確な検査結果が得られやすくなります。また、検査後は軽い出血が見られることがありますが、通常は数日で治まります。検診後に異常が見つかった場合は、速やかに精密検査を受けることが重要です。検診結果を受け取った後は、医師の指示に従って適切な対応を行いましょう。
吉原加奈 | 看護師検診当日はゆったりとしたスカートがおすすめです!
子宮頸がんの予防と対策
HPVワクチンの重要性
HPVワクチンは、子宮頸がんの主要な原因であるヒトパピローマウイルス(HPV)の感染を予防するための効果的な手段です。特に、HPV16型および18型に対するワクチンは、これらのウイルスによる感染を防ぎ、子宮頸がんの発症リスクを大幅に低減させます。ワクチンは小学校6年生〜高校1年生相当の女児に対して定期接種対象者(原則自己負担なし)となっており、できるだけ早期に接種することが効果的です。
現在は1997年4月2日生〜2008年4月1日生まれまでの方を対象に、キャッチアップ接種対象者として公費での負担をおこなっています。(詳細は厚生労働省「ヒトパピローマウイルス(HPV)ワクチンの接種を逃した方へ~キャッチアップ接種のご案内~」をご覧ください)
吉原加奈 | 看護師男性がワクチンを打つことでHPVの感染を抑制できたり、その他のHPVウイルス起因のがんを予防する効果にも繋がります。
生活習慣の見直しと禁煙
子宮頸がんの予防には、健康的な生活習慣の維持が重要です。まず、喫煙は子宮頸がんのリスクを高めるため、禁煙が推奨されます。また、バランスの取れた食事や適度な運動を心がけることで、免疫力を高めることができます。
さらに、定期的な検診を受けることにより、早期発見と早期治療が可能になります。性行為に関しても、複数のパートナーを避け、安全な性行為を実践することで、HPV感染リスクを減少させることができます。
性行為に関する予防策
HPVは主に性行為を通じて感染するため、安全な性行為を実践することが重要です。コンドームの使用はHPV感染のリスクを低減させる効果がありますが、完全に防ぐことはできません。性行為開始年齢を遅らせることや、性行為のパートナーを限定することも有効な予防策です。
さらに、HPVワクチンを接種することで、HPVによる感染リスクを大幅に減少させることができます。これらの予防策を実践することで、子宮頸がんのリスクを低減できます。
定期的な自己検診の重要性
定期的な自己検診は、子宮頸がんの早期発見に役立ちます。自分自身で異常を感じた場合、早めに医療機関を受診することが重要です。具体的には、不正出血や異常なおりもの、骨盤痛などの症状に注意を払い、異常があればすぐに専門医に相談することが推奨されます。自己検診と定期的な医療機関での検診を組み合わせることで、子宮頸がんの早期発見と予防がより確実になります。
栄養と免疫力の向上
バランスの取れた食事は、免疫力を高め、子宮頸がんの予防に寄与します。ビタミンA、C、Eなどの抗酸化物質を豊富に含む食品を摂取することが推奨されます。これらの栄養素は、細胞の健康を維持し、HPV感染に対する抵抗力を高めます。また、適度な運動や十分な睡眠も免疫力を強化するために重要です。健康的なライフスタイルを維持することで、子宮頸がんの発症リスクを低減できる可能性があります。
子宮頸がん検診の結果の見方と精密検査
検診結果の解釈
子宮頸がん検診の結果は、通常、正常、異常、要精密検査のいずれかに分類されます。正常の場合は、次回の定期検診まで特に追加の検査は必要ありません。異常が見つかった場合は、異形成や前がん病変の可能性があり、医師からの指示に従って追加の検査や治療が行われます。
要精密検査の場合の対応
要精密検査と判定された場合は、速やかに医療機関で追加の検査を受ける必要があります。精密検査には、コルポスコピー(膣拡大鏡検査)や組織診があります。これらの検査により、がん細胞の有無や病変の程度を詳しく調べます。検査結果に基づき、必要な治療が決定されます。精密検査を受けることで、子宮頸がんの早期発見と治療が可能となり、予後が改善されます。
子宮頸がん検診の流れ(細胞診の場合)
引用:日本医師会「子宮頸がん検診の検査方法」 子宮頸がん検診の流れ(細胞診)
精密検査後のフォローアップ
精密検査の結果に基づき、治療や経過観察が必要となります。異常が見つかった場合は、医師の指示に従って適切な治療を受けます。前がん病変の場合は、定期的な検査が必要されます。治療が必要ない場合でも、定期的な検診を続けることで、子宮頸がんの早期発見が可能です。検診後のフォローを怠らず、医師とのコミュニケーションを保つことが健康維持及び早期治療の鍵となります。
子宮頸がん検診の新しい形、HPV検査単独法について
HPV検査単独法は、子宮頸がん検診において新たに導入された検査方法です。この方法は、細胞診(パップテスト)に代わって、ヒトパピローマウイルス(HPV)の感染を直接検出することを目的としています。HPVは子宮頸がんの主要な原因とされており、特に高リスク型HPVの持続感染ががん化のリスクを高めます。
検査の実施方法
HPV検査単独法では、まず子宮頸部から細胞を採取し、その細胞を専用の保存液に回収して液状化検体を作成します。この検体を使用してHPVの有無を調べます。液状化検体を用いることで、同一検体をトリアージ検査(追加の精密検査)に使用することが可能となり、検査の効率が向上します。
子宮頸がん検診の流れ(HPV検査単独法の場合)
日本医師会:「知っておきたいがん検診:子宮系がん検診の検査方法」 ※1 従来の検診では含まれなかった検査
※2 節目年齢とは、30歳からの5年刻みの年齢のことをいう
導入の背景と目的
HPV検査単独法は、従来の細胞診と比べて検査の感度が高く、前がん病変やがんを早期に発見する能力に優れています。この検査方法の導入により、子宮頸がんの早期発見と予防がさらに強化されることが期待されています。また、検査の間隔を5年に一度とすることが可能となり、従来の2年に一度の細胞診よりも受診者の負担を軽減することができます。
精度管理と追跡調査
HPV検査単独法を効果的に実施するためには、精度管理と長期の追跡調査が不可欠です。HPV陽性者に対する長期的なフォローを含む精度管理体制を構築し、検査結果の信頼性を確保することが求められます。具体的には、検診結果の記録と受診者の情報をデータベースに保存し、個別の検診受診状況を長期にわたり追跡できるシステムが必要です。
今後の課題と展望
HPV検査単独法の導入には、自治体や医療機関の協力が不可欠です。新しい検診方法の普及と受診率の向上には、住民への啓発活動や検査の有効性についての情報提供が重要となります。さらに、HPV検査の結果に基づく適切なフォローアップ体制を整えることで、子宮頸がんの予防効果を最大限に引き出すことが期待されています。
HPV検査単独法は、従来の検診方法と比べて多くの利点を持つ一方で、新しいシステムの導入と運用には慎重な計画と管理が求められます。検診の精度を維持し、受診者の健康を守るための取り組みが今後も続けられることが重要です。
HPV検査導入に対する説明(厚生労働省:令和5年度指針改正等に関する自治体説明会)
子宮頸がん検診を受けるための手続き
受診対象者の条件
子宮頸がん検診は、20歳以上の女性が対象です。特に性交渉の経験がある女性は検診の対象となりますが、性交渉がしばらくない場合でも、一度でも性交渉の経験がある場合は検診を推奨されています。一方で性交渉の経験がない場合は子宮頸がん検診を受ける利益を示す証拠が現在のところはありませんが婦人科医と相談の上、必要に応じて検診を受けること可能になります。
検診の予約方法
検診を受けるためには、まず自治体や医療機関での予約が必要です。多くの自治体では、住民に対して定期的に検診の案内が送られてきます。案内に従って、指定の医療機関で予約を取りましょう。また、インターネットや電話で予約ができる医療機関も増えており、便利に予約することができます。予約時には、受診時の持ち物や準備について確認することが重要です。
検診当日の準備と注意事項
検診当日は、健康保険証や受診票、問診票などを持参します。生理中は検査が難しいため、生理の時期を避けて予約を取ることが推奨されます。検査の3日前からは性交渉や膣内洗浄を避けるようにしてください。また、リラックスして検診を受けるために、時間に余裕を持って医療機関に到着するよう心掛けましょう。検診後には軽い出血がある場合があるため、必要に応じてナプキンを用意しておくと良いでしょう。
子宮頸がん検診の費用と支援制度
検診費用の概要
子宮頸がん検診の費用は、自治体や医療機関によって異なります。多くの自治体では、住民に対して無料または一部の負担で検診を提供しています。費用は自治体のホームページや検診案内に記載されていますので、事前に確認しておきましょう。また、職場の健康診断に子宮頸がん検診が含まれている場合もあり、その際の費用は会社負担となることが多いです。
公的支援制度の利用方法
日本では、公的支援制度を利用して子宮頸がん検診を受けることができます。自治体が実施する無料クーポンや補助金制度を利用すれば、費用負担を軽減できます。対象となる年齢や条件は自治体ごとに異なるため、各自治体のホームページや問い合わせ窓口で詳細を確認しましょう。また、一部の保険会社でも検診費用を補助するプランがありますので、加入している保険内容を確認することもおすすめです。

東京都港区の場合は、令和6年7月1日〜令和7年1月31日までの対象者の受診では無料で検診を受けるとができます。
自治体の助成金と申請手続き
自治体によっては、特定の年齢層に対して子宮頸がん検診の費用を助成する制度があります。助成金の対象となるかどうかは、住んでいる自治体や健康保険組合に確認する必要があります。助成金を利用するためには、検診を受ける前に申請手続きが必要な場合もあります。申請手続きは、自治体の窓口やインターネットで行うことができ、必要な書類を提出することで助成金が適用されます。
吉原加奈 | 看護師正しく子宮頸がん検診を理解して、受診率をあげていきましょう!
子宮がん検診のまとめ
子宮頸がん検診の重要性
子宮頸がん検診は、がんの早期発見に不可欠です。従来の細胞診は、子宮頸部から細胞を採取して異常を検出する方法で、長年にわたり多くの命を救ってきました。
これからの時代にはHPV検査単独法の利用が増えると予想されます。この方法は、子宮頸がんの主要原因である高リスク型HPVの感染を直接検出し、検査の感度が高いため、より効果的にがんや前がん病変を早期に発見することができます。また異常なしの場合は5年に1度の検診になることで負担も減ると想定されています。
検診を受ける際のポイント
20歳以上の女性には2年に1度の子宮頸がん検診が推奨されています。検診では、細胞診やHPV検査が行われ、異常が見つかった場合は速やかに精密検査や治療が行われます。症状がなくても定期的に検診を受けることで、子宮頸がんの早期発見と治療が可能になります。検診を受ける前には、医療機関に問い合わせて、必要な準備や注意点を確認しましょう。定期的な検診が、健康な生活を続けるための鍵となります。
支援制度の活用
子宮頸がん検診を受ける際には、自治体の支援制度を利用することで、検診費用の負担を軽減することができます。多くの自治体では、住民に対して無料または一部負担で検診を提供しています。検診の案内が届いたら、積極的に受診しましょう。また、支援制度の利用方法や条件については、自治体のホームページや問い合わせ窓口で確認することが重要です。支援制度を活用して、経済的負担を軽減し、安心して検診を受けることができます。
吉原加奈 | 看護師子宮頸がんについて検診とワクチンの両面からしっかりと考えて、健康的な生活を送ってくださいね。

「がん専門FPのCancer FP」では、医療系FPを中心に最新の医療情報とお金の情報を分析してお客様にお届けしています。
相談は完全無料なので、家族ががんなので遺伝が気になっている方、「お金」についても将来に対して漠然と不安がある方はまずはお問い合わせしてみてください。
・現役医療従事者や元医療従事者が多数
・日本FP協会認定FPに相談が可能
・生涯で最大1000万円ほどお得に!












